AutoLineDigitizer

Automatic line chart data extraction desktop application

High-precision automatic axis detection with LineFormer × ChartDete × EasyOCR

Total Downloads

Demo

Note: This demo video shows an earlier Streamlit-based version. The current version uses a Flet-based desktop app with a different UI, but the core functionality is the same.

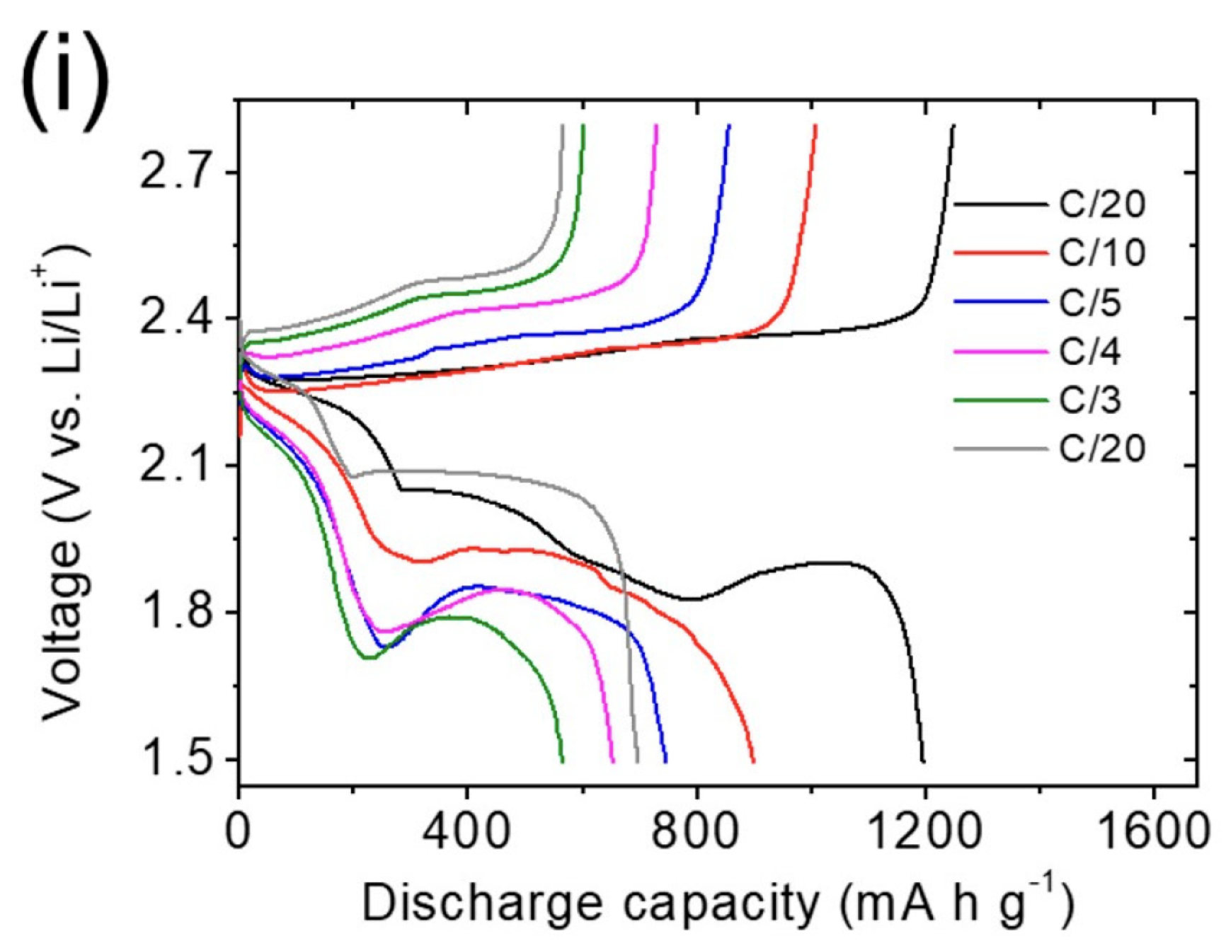
Input Image

Input chart image

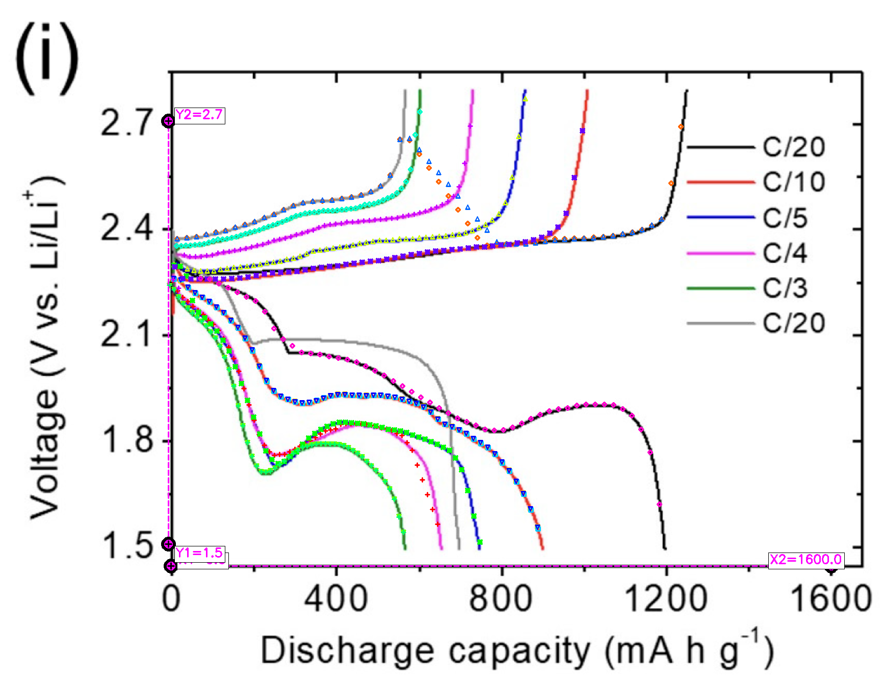
Extraction Result

Extraction result

Key Features

📈

Line Extraction

Automatic line detection using LineFormer extracts multiple lines from charts with high precision.

🎯

Automatic Axis Detection

Automatic axis label reading via ChartDete + OCR provides accurate values without manual configuration.

💾

Multiple Export Formats

Supports export in StarryDigitizer ZIP format and WebPlotDigitizer TAR format.

Installation

macOS (Apple Silicon)

Note: Intel Mac is not currently supported. Apple Silicon (M1/M2/M3/M4) only.
  1. Download AutoLineDigitizer-macOS.zip from Releases
  2. Unzip and move AutoLineDigitizer.app to Applications folder
  3. On first launch, macOS will show a warning: "AutoLineDigitizer.app cannot be opened because the developer cannot be verified."
    • Click Cancel (not "Move to Trash")
    • Go to System Settings → Privacy & Security, scroll down and click "Open Anyway"
    • Or: Right-click the app → Open → click Open in the dialog
  4. Models will be downloaded automatically on first launch

Windows

  1. Download AutoLineDigitizer-Windows.zip from Releases
  2. Unzip and run AutoLineDigitizer\AutoLineDigitizer.exe
  3. Models will be downloaded automatically on first launch

WebPlotDigitizer vs AutoLineDigitizer

Feature WebPlotDigitizer AutoLineDigitizer
Line Detection Manual clicking AI automatic
Axis Calibration Manual input OCR automatic
Speed Manual Fast
Precision Very high Good
Complex plots Excellent Basic
Best for All chart types Line charts
Platform Web Desktop (macOS/Windows)

Recommended Workflow: Use Both!

  1. Auto-extract lines and axes with AutoLineDigitizer
  2. Export to WebPlotDigitizer TAR format
  3. Import into WebPlotDigitizer for refinement and verification
  4. Export final data as CSV or other formats

Use Cases

📊 Meta-Analysis

Extract data from dozens of published papers for systematic reviews and meta-analyses.

📚 Literature Review

Process multiple similar charts from the same research domain quickly.

🔄 Data Recovery

Recover numerical data from old publications where raw data is no longer available.

Frequently Asked Questions

How is this different from WebPlotDigitizer?

AutoLineDigitizer automates line detection and axis calibration using AI (LineFormer + OCR). WebPlotDigitizer gives you more manual control and precision. They work great together! Use AutoLineDigitizer for batch processing, then WebPlotDigitizer for refinement.

Is it accurate?

Works well for simple line charts with clear axes. For complex plots with overlapping lines or unclear axes, use WebPlotDigitizer for final refinement. Always verify important data manually.

What formats does it export?

CSV (comma-separated values), WebPlotDigitizer TAR format (for import and refinement), and StarryDigitizer ZIP format.

Does it work offline?

Yes! All AI models (LineFormer, ChartDete, EasyOCR) are bundled with the application. No internet connection required after installation.

Which is better, AutoLineDigitizer or WebPlotDigitizer?

They're complementary tools, not competitors! AutoLineDigitizer excels at batch processing and initial extraction. WebPlotDigitizer excels at precision and complex plots. Use both for the best workflow.

Is my data private?

Absolutely! All processing happens locally on your computer. No data is sent to external servers. Your research data never leaves your machine.

Technical Details

Line Detection

Uses LineFormer, a deep learning model presented at ICDAR 2023, specifically trained on academic and scientific chart images.

  • Detects multiple lines simultaneously
  • Handles various line styles and colors
  • Trained on diverse chart types

Axis Recognition

Combines ChartDete (chart element detection) with EasyOCR for automatic axis label reading.

  • Detects axis labels automatically
  • Reads numeric values via OCR
  • Supports log and linear scales

Privacy & Security

All processing happens locally on your computer with bundled AI models.

  • No data sent to servers
  • Works completely offline
  • Open source (MIT License)